Częstotliwości kanałów analogowych w MM (dawna kablówka)

Co byśmy bez nich zrobili? Masz problem ze sprzętem? Chcesz kupić grę? Tutaj jest odpowiednie miejsce na takie tematy.
ODPOWIEDZ

Autor tematu
halford
Rhetor
Posty: 2096
Rejestracja: 21-10-2009, 15:44

Częstotliwości kana³ów analogowych w MM (dawna kablówka)

Post autor: halford »

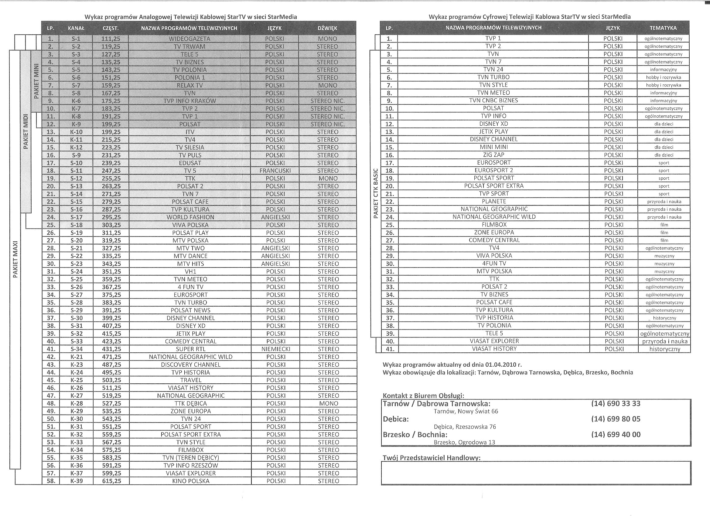
Mam dosyć nietypowy problem. Potrzebuje poznać częstotliwości na jakich działają kanały w dawnej TTK. Jak ktoś ma możliwość to proszę o podanie (chociaż zakresu). Chodzi mi o pakiet, w którym jest około 50 programów. Niestety więcej informacji nie znam.


TakiTamJeden
Obywatel
Posty: 15
Rejestracja: 21-10-2009, 18:22

Post autor: TakiTamJeden »

Nie wiem czy o to chodziło, ale z 2010roku.
Załączniki
Skan kana³ów S.Tar
Skan kana³ów S.Tar


Autor tematu
halford
Rhetor
Posty: 2096
Rejestracja: 21-10-2009, 15:44

Post autor: halford »

Tak, to mi wystarczy. Dzięki wielkie !


krzychu
Archont
Posty: 881
Rejestracja: 23-09-2009, 19:02
Lokalizacja: Tarnów

Post autor: krzychu »

to multimedia jeszcze nadaje analogowo ?


TakiTamJeden
Obywatel
Posty: 15
Rejestracja: 21-10-2009, 18:22

Post autor: TakiTamJeden »

Nadaje. Nadaje. Chociaż u mnie jakość jest do.... Wiadomo do czego. Na szczęście, męczarnia skończy się z końcem stycznia. Robię pa, pa, TV całkowicie.


wadas
Prytan
Posty: 170
Rejestracja: 22-12-2011, 16:02

Post autor: wadas »

TakiTamJeden pisze:Nadaje. Nadaje. Chociaż u mnie jakość jest do.... Wiadomo do czego. Na szczęście, męczarnia skończy się z końcem stycznia. Robię pa, pa, TV całkowicie.
Ja już dawno pożegnałem telewizor i nie żałuje. Dla mnie poza discovery, tvn turbo i programami sportowymi cała reszta to bagno do ogłupiania ludzi.

ODPOWIEDZ